
안녕하세요. 리습입니다.
이번에는 저항, 캐패시터에 이은 RLC 3형제 중 마지막! 인덕터(Inductor)에 대하여 알아보도록 하겠습니다.
인덕터, 코일 이란 무엇인가.

인덕터(Inductor)는 자성체에 전선을 감은 단순한 구조를 가진 부품입니다. 인덕터의 성능은 코일의 구조적 형태와, 코어로 사용되는 자성체의 성능에 따라서 결정됩니다.
인덕터의 회로적 특성은 캐패시터와 정 반대라고 생각하면 편리합니다. 캐패시터의 경우 직렬로 연결되었을 경우엔 직류 성분(AC)의 전류를 방해하고 인덕터의 경우 직렬로 연결되었을 때 교류 성분(AC)의 전류를 방해합니다. 또한 캐패시터는 전압을 바탕으로 이해하면 편리한 반면, 인덕터는 전류를 바탕으로 이해를 하였을 때 편리하지요.

인덕터는 보통 헨리(Henry)라는 H로 표기하는 단위로 표현합니다. 헨리는 인덕터(코일)에서 매초 1A의 비율(1A/s)로 전류가 변화할 때, 상호작용하는 인덕터(코일)에 1V의 기전력을 유도하는 두 인덕터의 상호 인덕턴스를 1 헨리(H)라고 합니다. 보통 H단위는 nH ~ uH까지 많이 사용합니다. 이를 반대로 말하면, 전류의 변화가 1A/s일 때 1V의 기전력을 발생시킬 경우 자기 인덕턴스를 1 헨리(H)라는 것과 같은 것이죠.
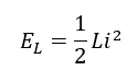
그리고 현재 인덕터가 얼마만큼의 인덕턴스를 만들어 줄 있는지에 대한 상수를 L로 표현합니다. 그리고 이런 인덕터에 축전되는 에너지는 수식으로 표현하면 다음과 같이 표현할 수 있습니다.

인덕터의 기본적인 동작

인덕터의 동작은 마치 팽이와 같이 생각하면 매우 쉽습니다.
먼저 팽이는 처음 돌리려고 할 때 큰 힘이 필요합니다. 우리가 줄을 감고 길게 쭉 풀어주어야지만 팽이는 원할하게 돌아가게 되죠. 인덕터도 마찬가지입니다. 인덕터에 흐르는 전류는 급격하게 변화하지 않습니다. 코일 양단에 전압을 걸어 전류를 흐르게 하더라도 코일에 흐르는 전류는 0에서부터 천천히 오르게 되죠. 이를 다르게 말하면 코일은 전류 변화에 대하여 저항성분을 가진다라고 도 말할 수 고, 이는 마찬가지로 "교류 성분에 대하여 저항성분을 가진다"라고도 정리할 수 있게 됩니다.
또 팽이는 한번 돌기 시작하면 계속해서 도는 성질이 있습니다. 코일도 마찬가지입니다. 코일에 한번 흐르기 시작한 전류는 계속 흐르려고 하는 성질이 있습니다. 즉 전압이 발생하여 점점 더 전류가 흐르려고 할 때는 전류를 못 흐르게 방해하는 저항 성분이 있지만, 반대로 전압이 사라져 전류가 흐르지 않으려고 할 경우 반대로 전류를 계속 흐르도록 하는 성질이 있는 것입니다.
마무리
이렇게 인덕터라는 것이 무엇인지 알아보고 기본적인 동작에 대하여 감을 잡아보았습니다. 그럼 다음 시간부터 인덕터에 대해서 좀더 자세히 알아보도록 하겠습니다.
'하드웨어 > 하드웨어 기초' 카테고리의 다른 글
| [전자 하드웨어 기초] 18. 코일, 인덕터 -3- (인덕터의 등가회로, 특징) (1) | 2021.03.29 |
|---|---|
| [전자 하드웨어 기초] 17. 코일, 인덕터 -2- (인덕터 직렬연결 병렬연결) (0) | 2021.03.24 |
| [전자 하드웨어 기초] 15. 축전기, 캐패시터 -5- ( 캐패시터의 종류, 캐패시터 용량 읽는법 ) (0) | 2020.02.06 |
| [전자 하드웨어 기초] 14. 축전기, 캐패시터 -4- ( 캐패시터의 특징 정리 ) (0) | 2020.02.03 |