
안녕하세요. 리습입니다.
오늘은 회로에서 인덕터를 연결하였을 때, 어떻게 인덕턴스가 변화되고 계산할 수 있게 되는지 알아보도록 하겠습니다. 저항, 캐패시터와 마찬가지로 인덕터 또한 직렬연결과 병렬연결을 할 수 있습니다.
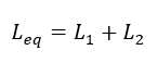
인덕터의 직렬연결

인덕터, 코일이 직렬연결되어 있을 때는 전류를 방해하는 성분들이 중첩되어 있다고 생각할 수 있습니다. 이것은 마치 저항의 직렬연결과 동일하게 생각할 수 있죠. 따라서 인덕터를 직렬연결할 경우 총 인덕턴스는 다음과 같이 모두 더하는 방법으로 구할 수 있습니다.

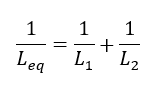
인덕터의 병렬연결

반면에 인덕터의 연결을 병렬연결하였을 경우에는 어떻게 나타낼 수 있을까요? 병렬연결된 인덕터는 저항이 나누어져 있어 저항이 병렬로 연결되었을 때와 동일하게 생각할 수 있습니다. 이를 수식으로 나타내면 다음과 같습니다.

역수의 총합의 역수로 병렬 연결된 인덕터의 총 인덕턴스를 계산할 수 있습니다.
인덕터에 흐르는 전류와 전압
그럼 인덕터들의 집합에서 전체 인덕턴스를 구하는 것은 알게 되었으나 이 인덕턴스를 이용해선 어떻게 전류 전압을 구할 수 있을 까요? 이전에 H는 전류의 변화율에 따른 전압 생성 정도를 의미한다고 이야기한 적이 있습니다. 이를 잘 생각하여 식으로 구성하면 다음과 같습니다.

즉 인덕터 양단에 걸리는 전압은 흐르는 전류의 변화에 따라 나타낼 수 있으며, 그 비례 정도는 인덕턴스에 의해 결정된다는 것을 알 수 있습니다. 그리고 이 이 인덕턴스 L은 마치 V= IR에서 저항과 같은 역할을 하고 있기 때문에 실제 직/병렬 식에서도 유사하게 계산할 수 있다는 것을 알 수 있습니다.
마무리
이번 시간엔 인덕터, 코일의 직렬연결 병렬연결에 대하여 알아보았습니다. 전체적인 동작과 회로서 합성되었을 때의 변화 등을 알아보았으니, 다음 시간엔 인덕터를 왜 사용하는지 알아보도록 하겠습니다.
'하드웨어 > 하드웨어 기초' 카테고리의 다른 글
| [전자 하드웨어 기초] 19. 코일, 인덕터 -4- (인덕터의 활용, 공진주파수) (0) | 2021.03.31 |
|---|---|
| [전자 하드웨어 기초] 18. 코일, 인덕터 -3- (인덕터의 등가회로, 특징) (1) | 2021.03.29 |
| [전자 하드웨어 기초] 16. 코일, 인덕터 -1- (인덕터란 무엇인가) (0) | 2021.03.22 |
| [전자 하드웨어 기초] 15. 축전기, 캐패시터 -5- ( 캐패시터의 종류, 캐패시터 용량 읽는법 ) (0) | 2020.02.06 |